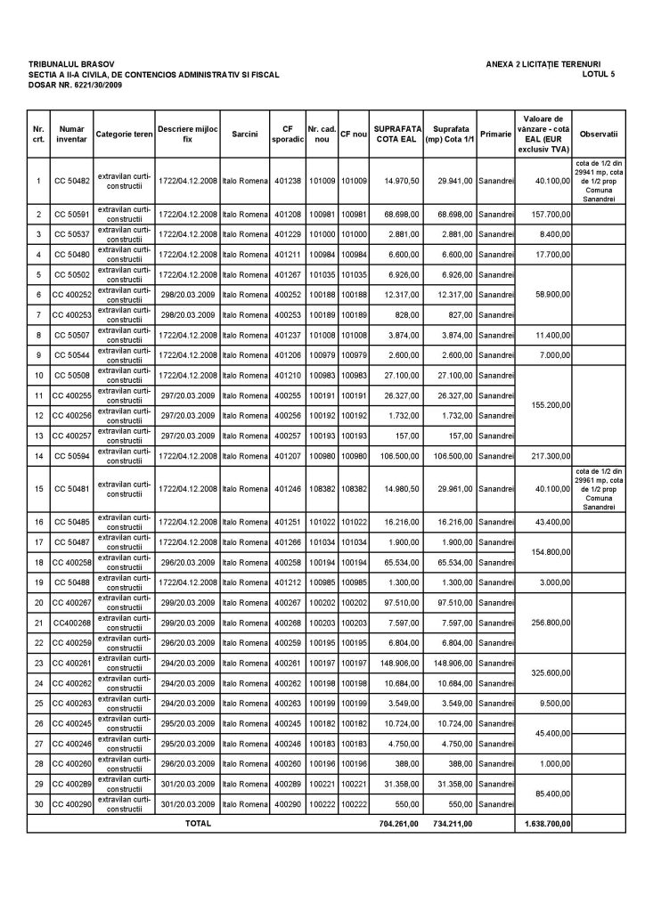
Publicație de vânzare licitație terenuri SC EXCLUSIV AGRO LINE SRL

Anunțul îl puteți descărca aici:

Publicație de vânzare licitație terenuri SC EXCLUSIV AGRO LINE SRL

sau vizualiza aici:

 

1
2
3
4
5

Leave a Reply

Your email address will not be published. Required fields are marked *

Pages

Follow by Email